Pronájem kanceláře, Zlín, Kvítková, 18 m2

Kvítková, Zlín

3 616 Kč /za měsíc Získejte výhodnou HYPOTÉKU

(+ spotřeba energií a služeb 1.766,- Kč (celková měsíční platba 5.382,- Kč) + zprostředkování)

Doporučené firmy v Zlíně

Informace k nemovitosti

Kancelářské prostory Zlín - centrum, Kvítková ul.

Momentálně v nabídce:

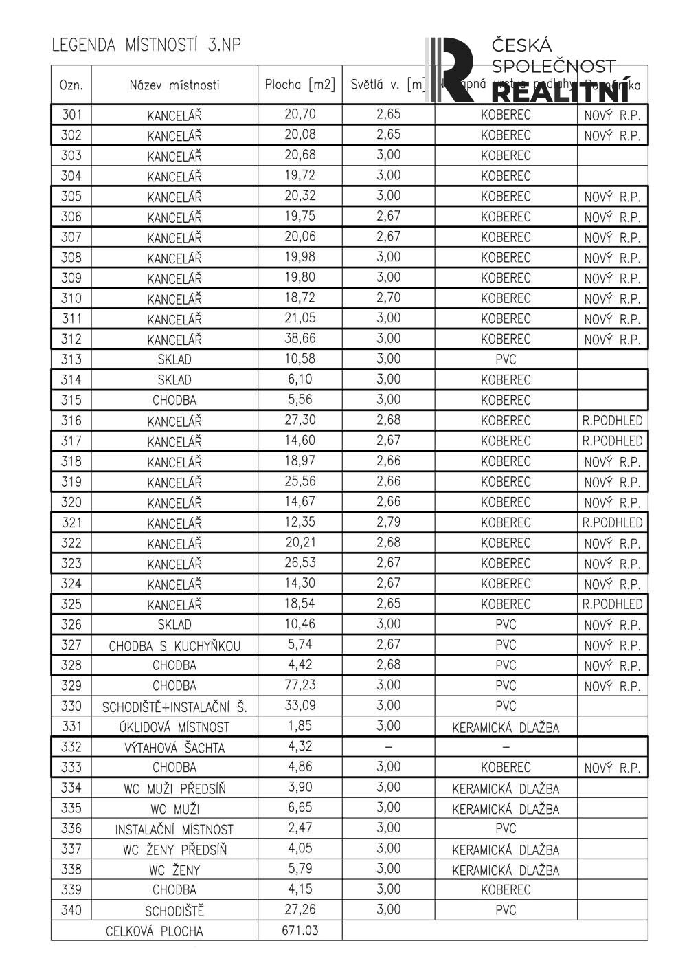
3.NP:

- přehled uspořádání kanceláří v příloze ve fotografiích, aktuální stav volných kanceláří a cena bude sdělena telefonicky na dotaz, k dispozici ihned.
3.NP prošlo v loňském roce kompletní renovací všech kanceláří, sociálních zařízení a společné chodby.
(Orientační cena = nájemné 195,- Kč/m2/měsíc + energie a služby 92,- Kč/m2/měsíc)

4. a 5.NP:

- velikost 25,08 m2, kancelář 422, cena nájemné 4.774,52 Kč + energie a služby 2.331,48 Kč (7.106,- Kč) + DPH, k dispozici ihned,

- velikost 25,70 m2, kancelář 415, cena nájemné 4.892,55 Kč + energie a služby 2.389,11 Kč (7.281,67 Kč) + DPH, k dispozici ihned,

- velikost 29,91 m2, kancelář 410, cena nájemné 5.777,75 Kč + energie a služby 2.821.37 Kč (8.599,13 Kč) + DPH, k dispozici ihned,

- velikost 31,66 m2, kancelář 503, cena nájemné 5.052,18 Kč + energie a služby 2.467,07 Kč (7.519,25 Kč) + DPH, k dispozici ihned.

Internet - síť vysokorychlostního internetu pomocí optického vlákna - je zajištěn společností Avonet s.r.o.
Akční cenová nabídka pro nájemníky je přiložena ve fotografiích.

Možnost pronájmu parkovacího stání před budovou o velikosti 2,5 m x 5 m, cena 1.600,- Kč + DPH / měsíc.

Veřejné parkování v parkovacím domě OC Zlaté jablko vzdáleno 116 m.

Přístup do prostor možný 24 hodin denně, 7 dní v týdnu.

Poplatek za dodávky veškerých energií, vody a služeb (úklid, recepce, odvoz TKO, provoz výtahu atd.) představuje cca částku 90 Kč bez DPH/m2/měsíc.

Dům č. p. 4703 na ulici Kvítková je situován v území městské památkové zóny Zlín. Jedná se o dominantní šestipodlažní objekt tvořící spolu s navazujícím shodně architektonicky řešeným domem jižní frontu ulice Kvítková.
Jeho hmota, urbanistické začlenění a vnější architektonický výraz významně spoluvytváří přilehlé městské prostředí i prostor MPZ Zlín.

Pro více informací a sjednání termínu nezávazné prohlídky mě kontaktujte.

Parametry nemovitosti

Cena
3 616 Kč /za měsíc
Poznámka k ceně
+ spotřeba energií a služeb 1.766,- Kč (celková měsíční platba 5.382,- Kč) + zprostředkování
Aktualizováno
19. 1. 2026
Adresa
Kvítková, Zlín
ID
N01573
Stavba
Cihlová
Stav objektu
Velmi dobrý
Typ objektu
Patrový
Lokalita objektu
Centrum obce
Vlastnictví
Osobní
Užitná plocha
18 m2
Zastavěná plocha
18 m2
Podlahová plocha
18 m2
Třída energetické náročnosti
C - Úsporná

Kontaktovat makléře

Máte zájem o tuto nemovistost?

Tímto, v souladu s nařízením Evropského parlamentu a Rady (EU) 2016/679, v platném znění, prohlašuji, že mi je alespoň 16 let a uděluji tak svůj souhlas se zpracováním zadaných údajů (jméno, telefon, e-mail, ip adresa) společnosti B3 Technology, s.r.o., IČ: 07330600, se sídlem Novostavby 126/23, 435 11 Lom (správce dat), za účelem předání dotazu z tohoto formuláře Vámi vybranému inzerentovi a zpětného kontaktování mé osoby. Osobní údaje bude správce zpracovávat manuálně i automaticky přímo prostřednictvím svých zaměstnanců. Informace předané tímto formulářem budou uloženy v databázi správce maximálně po dobu 10 let. Odvolání souhlasu s uložením a zpracováním poskytnutých dat lze e-mailem na info@bydlisnami.cz. V případě podezření na neoprávněné použití Vámi poskytnutých údajů máte právo předat podnět k šetření Úřadu pro ochranu osobních údajů. Více informací
Chystáte se prodat nemovitost?
Pomůžeme Vám!

Inzerát si prohlédlo 16 lidí

Prodejce

Bc. Kateřina Struhelková

Bc. Kateřina Struhelková

Hlídací pes

Chcete dostávat emailem podobné nabídky pronájmu kanceláří v Zlíně?

Podobné nemovitosti