Prodej pozemku pro bydlení, Golčův Jeníkov - Kobylí Hlava, 1733 m2

Golčův Jeníkov, Kobylí Hlava

1 690 000 Kč /za nemovitost HYPOTÉKA od 7 553 Kč /za měsíc

(včetně provize a právních služeb)

Doporučené firmy v Golčůvě Jeníkově

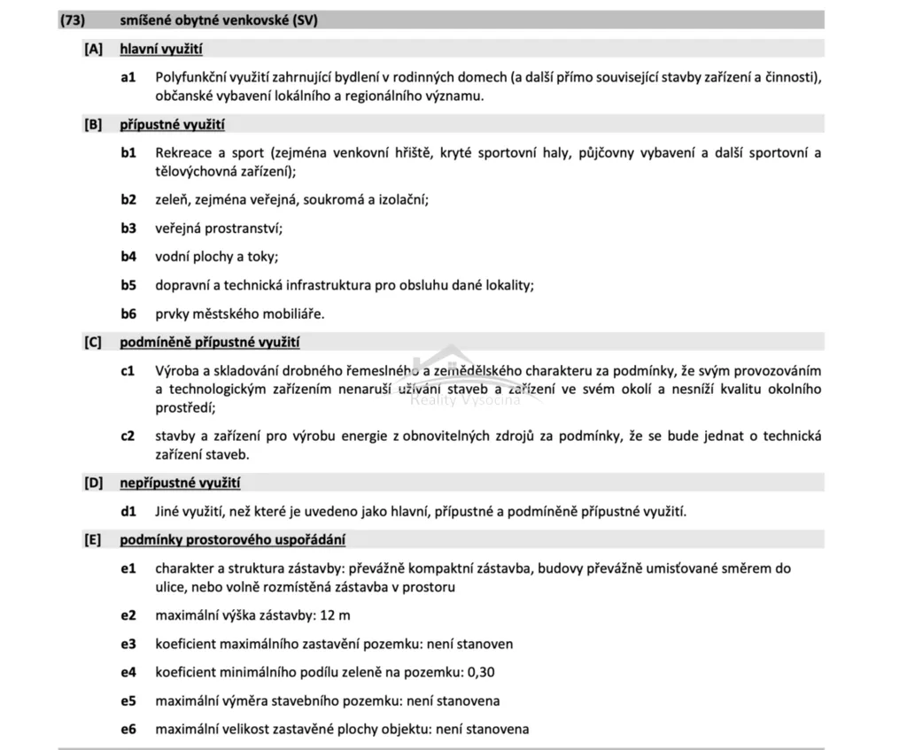
Informace k pozemku

Nabízíme Vám atraktivní stavební pozemek o výměře 1 733 m² se dvěma existujícími stavbami s přidělenými čísly popisnými, nacházející se v klidné a přírodní lokalitě Kobylí Hlava u Golčova Jeníkova.

Na pozemku se aktuálně nachází dva navazující objekty o celkové zastavěné ploše 194 m², které jsou určeny ke kompletní rekonstrukci nebo demolici. Díky existujícím číslům popisným představuje nemovitost velmi zajímavou investiční příležitost s možností výstavby dvou samostatných rodinných domů nebo rekreačních objektů.

Pozemek se nachází na krásném místě v blízkosti lesa a nabízí dostatek soukromí, klidu a příjemné přírodní prostředí.

Technická infrastruktura:
obecní vodovod - lze vybudovat přípojku do nemovitostí
splašková kanalizace - na hranici pozemku, lze připojit
vlastní studna na pozemku
přípojka Cetin
přístup po obecní komunikaci
Velkorysá výměra pozemku umožňuje široké možnosti využití – výstavbu rodinných domů, rekreačních objektů nebo investiční projekt zaměřený na pronájem.
Lokalita nabízí ideální kombinaci klidného venkovského prostředí a dobré dostupnosti občanské vybavenosti. Veškeré služby jsou dostupné v nedalekém Golčově Jeníkově (cca 4 km), odkud je dále výborné dopravní spojení do Havlíčkova Brodu, Čáslavi nebo Kolína.

Pozemek je ihned k dispozici.

Parametry pozemku

Cena
1 690 000 Kč /za nemovitost Spočítat hypotéku
Poznámka k ceně
včetně provize a právních služeb
Aktualizováno
26. 2. 2026
Adresa
Golčův Jeníkov, Kobylí Hlava
ID
5210
Zastavěná plocha
194 m2
Plocha pozemku
1733 m2
Třída energetické náročnosti
G - Mimořádně nehospodárná
Elektřina
230V, 400V
Odpad
Veřejná kanalizace
Voda
Místní zdroj vody, Vodovod

Kontaktovat makléře

Realitní kancelář

Logo Reality Vysočina s.r.o.

Reality Vysočina s.r.o.

Beckovského 2045, Havlíčkův Brod

Chystáte se prodat nemovitost?
Pomůžeme Vám!

Máte zájem o tento pozemek?

Tímto, v souladu s nařízením Evropského parlamentu a Rady (EU) 2016/679, v platném znění, prohlašuji, že mi je alespoň 16 let a uděluji tak svůj souhlas se zpracováním zadaných údajů (jméno, telefon, e-mail, ip adresa) společnosti B3 Technology, s.r.o., IČ: 07330600, se sídlem Novostavby 126/23, 435 11 Lom (správce dat), za účelem předání dotazu z tohoto formuláře Vámi vybranému inzerentovi a zpětného kontaktování mé osoby. Osobní údaje bude správce zpracovávat manuálně i automaticky přímo prostřednictvím svých zaměstnanců. Informace předané tímto formulářem budou uloženy v databázi správce maximálně po dobu 10 let. Odvolání souhlasu s uložením a zpracováním poskytnutých dat lze e-mailem na info@bydlisnami.cz. V případě podezření na neoprávněné použití Vámi poskytnutých údajů máte právo předat podnět k šetření Úřadu pro ochranu osobních údajů. Více informací
Chystáte se prodat nemovitost?
Pomůžeme Vám!

Inzerát si prohlédlo 0 lidí

Prodejce

Adam Chlubný

Adam Chlubný

Hlídací pes

Chcete dostávat emailem podobné nabídky prodeje pozemků pro bydlení v Golčůvě Jeníkově?

Podobné nemovitosti